请输入您要查询的字词:

 

单词 carbazole
释义
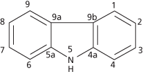
carbazole

Chemistry
  • A white crystalline compound found with anthracene, C12H9N; m.p. 238°C; b.p. 335°C. It is used in the manufacture of dyestuffs.

    carbazole

    Carbazole


随便看

 

科学参考收录了60776条科技类词条,基本涵盖了常见科技类参考文献及英语词汇的翻译,是科学学习和研究的有利工具。

 

Copyright © 2000-2023 Sciref.net All Rights Reserved
京ICP备2021023879号 更新时间:2025/10/16 22:48:06