请输入您要查询的字词:

 

单词 triacetone triperoxide
释义
triacetone triperoxide

Chemistry
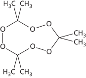
  • An organic peroxide, C9H18O6, derived from acetone; r.d. 1.18; m.p. 91°C. It is a highly explosive white crystalline substance, very sensitive to heat and shock. It is favoured by some terrorist groups because it can easily be made from commonly available compounds. For example, it is probable that it was used in the London bombings of 7 July 2005.

    triacetone triperoxide

    Triacetone triperoxide


随便看

 

科学参考收录了60776条科技类词条,基本涵盖了常见科技类参考文献及英语词汇的翻译,是科学学习和研究的有利工具。

 

Copyright © 2000-2023 Sciref.net All Rights Reserved
京ICP备2021023879号 更新时间:2025/10/16 19:48:28