请输入您要查询的字词:

 

单词 transversal filter
释义
transversal filter

Electronics and Electrical Engineering
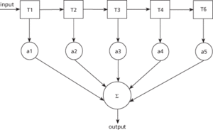
  • A series of cascaded time-delay elements that are sampled or ‘tapped’ along the length of the delay line. The sample points may have different gains associated with them. The delayed and sampled signals are then summed to provide the output signal; the transfer function can be tailored to produce a filter characteristic, as shown in the diagram. Transversal filters can be realized using charge-coupled devices, bucket-brigade devices, and acoustic-wave structures. See also digital filter.

    transversal filter

    Transversal filter and the resulting sampled time function yielding the signal envelope


随便看

 

科学参考收录了60776条科技类词条,基本涵盖了常见科技类参考文献及英语词汇的翻译,是科学学习和研究的有利工具。

 

Copyright © 2000-2023 Sciref.net All Rights Reserved
京ICP备2021023879号 更新时间:2026/1/20 12:40:40