请输入您要查询的字词:

 

单词 Behrens–Fisher problem
释义
Behrens–Fisher problem

Statistics
  • A problem concerned with the comparison of the means of two populations having normal distributions with different variances. The problem was first discussed by B. V. Behrens in 1929. Although Behrens’s method of solution was unclear, his conclusions were confirmed by Sir Ronald Fisher in 1935.

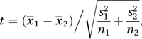
    The null hypothesis is that the populations have the same mean, and the suggested solution is an application of the Welch statistic. In this case, the test statistic t is given byBehrens–Fisher problemwhere 1 and 2 are the sample means, n1 and n2 are the sample sizes, and s12 and s22 are the sample variances (using the divisors n1−1 and n2−1). If the populations do have the same mean then t is an observation from an approximate t-distribution with ν degrees of freedom, where ν is taken as the nearest integer toBehrens–Fisher problemwhere a=s21/ n1 and b=s22 / n2. If n1n2, then the above formula ensures that (n1−1)≤ν≤(n1+n2−2).

    If the populations can be assumed to have the same variance then the problem is simple and the standard t-test (see hypothesis test) is appropriate.


随便看

 

科学参考收录了60776条科技类词条,基本涵盖了常见科技类参考文献及英语词汇的翻译,是科学学习和研究的有利工具。

 

Copyright © 2000-2023 Sciref.net All Rights Reserved
京ICP备2021023879号 更新时间:2025/10/16 18:50:49