请输入您要查询的字词:

 

单词 backbiting
释义
backbiting

Chemistry
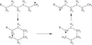
  • A rearrangement that can occur in some polymerization reactions involving free radicals. A radical that has an unpaired electron at the end of the chain changes into a radical with the unpaired electron elsewhere along the chain, the new radical being more stable than the one from which it originates. For example, the radical

    RCH2CH2CH2CH2CH2CH2·

    may change into

    RCH2CH·CH2CH2CH2CH3

    The rearrangement is equivalent to a hydrogen atom being transferred within the molecule. The new unpaired electron initiates further polymerization, with the production of polymers with butyl (CH3CH2CH2CH2–) side chains.

    backbiting

    Backbiting


随便看

 

科学参考收录了60776条科技类词条,基本涵盖了常见科技类参考文献及英语词汇的翻译,是科学学习和研究的有利工具。

 

Copyright © 2000-2023 Sciref.net All Rights Reserved
京ICP备2021023879号 更新时间:2025/10/16 21:33:33