请输入您要查询的字词:

 

单词 ATP
释义
ATP

Chemistry
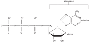
  • A nucleotide that is of fundamental importance as a carrier of chemical energy in all living organisms. It consists of adenine linked to d-ribose (i.e. adenosine); the d-ribose component bears three phosphate groups, linearly linked together by covalent bonds (see formula). These bonds can undergo hydrolysis to yield either a molecule of ADP (adenosine diphosphate) and inorganic phosphate or a molecule of AMP (adenosine monophosphate) and pyrophosphate. Both these reactions yield a large amount of energy (about 30.6 kJ mol-1) that is used to bring about such biological processes as muscle contraction, the active transport of ions and molecules across cell membranes, and the synthesis of biomolecules. The reactions bringing about these processes often involve the enzyme-catalysed transfer of the phosphate group to intermediate substrates. Most ATP-mediated reactions require Mg2+ ions as cofactors.

    ATP is regenerated by the rephosphorylation of AMP and ADP using the chemical energy obtained from the oxidation of food. This takes place during glycolysis and the Krebs cycle but, most significantly, is also a result of the reduction-oxidation reactions of the electron transport chain, which ultimately reduces molecular oxygen to water (oxidative phosphorylation).

    ATP

    ATP


Biology
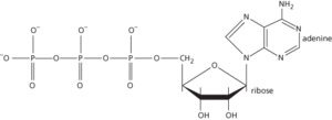
  • A nucleotide that is of fundamental importance as a carrier of chemical energy in all living organisms. It consists of adenine linked to d-ribose (i.e. adenosine); the d-ribose component bears three phosphate groups, linearly linked together by covalent bonds (see formula). These bonds can undergo hydrolysis to yield either a molecule of ADP (adenosine diphosphate) and inorganic phosphate or a molecule of AMP (adenosine monophosphate) and pyrophosphate (see atpase). Both these reactions yield a large amount of energy (about 30.6 kJ mol−1) that is used to bring about such biological processes as muscle contraction, the active transport of ions and molecules across plasma membranes, activation of proteins involved in signal transduction, and the synthesis of biomolecules. The reactions bringing about these processes often involve the enzyme-catalysed transfer of the phosphate group to intermediate substrates, for example by a kinase enzyme. Most ATP-mediated reactions require Mg2+ ions as cofactors.

    ATP is regenerated by the rephosphorylation of AMP and ADP using the chemical energy obtained from the oxidation of food. This takes place during glycolysis and the Krebs cycle but, most significantly, is also a result of the reduction-oxidation reactions of the mitochondrial electron transport chain, which ultimately reduces molecular oxygen to water (oxidative phosphorylation). ATP is also formed by the light-dependent reactions of photosynthesis.

    ATP

    ATP


随便看

 

科学参考收录了60776条科技类词条,基本涵盖了常见科技类参考文献及英语词汇的翻译,是科学学习和研究的有利工具。

 

Copyright © 2000-2023 Sciref.net All Rights Reserved
京ICP备2021023879号 更新时间:2025/12/20 10:49:54