请输入您要查询的字词:

 

单词 state space control
释义
state space control

Electronics and Electrical Engineering
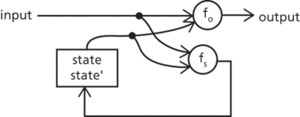
  • A modelling and design technique for control systems that defines an explicit state space and the dynamic relationship between it and the system inputs, outputs, and future state changes. Both the output and future state changes are defined as functions of the current input and state.

    output=fo(input,state)

    state'=fs(input,state)

    Also specified are the starting state of the system, and any final states, if it is designed to terminate. See also finite-state machine.

    state space control

    State space control


随便看

 

科学参考收录了60776条科技类词条,基本涵盖了常见科技类参考文献及英语词汇的翻译,是科学学习和研究的有利工具。

 

Copyright © 2000-2023 Sciref.net All Rights Reserved
京ICP备2021023879号 更新时间:2025/10/16 17:59:02