请输入您要查询的字词:

 

单词 inverse normal distribution
释义
inverse normal distribution

Statistics
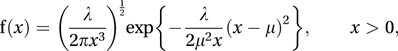
  • A continuous distribution with probability density function f is given byinverse normal distributionwhere μ>0, λ>0 . The distribution has mean μ, variance μ3/λ, and modeinverse normal distribution

    inverse normal distribution

    Inverse normal distribution. The distribution has two parameters: the mean μ and a parameter λ related to the variance.


随便看

 

科学参考收录了60776条科技类词条,基本涵盖了常见科技类参考文献及英语词汇的翻译,是科学学习和研究的有利工具。

 

Copyright © 2000-2023 Sciref.net All Rights Reserved
京ICP备2021023879号 更新时间:2025/10/16 17:59:14