Functions that provide succinct and accurate representations of time series and arrays of spatial data. Wavelets have great potential as tools for data compression, when the data consist of, for example, images to be sent across computer networks. The wavelet representation of g(t), a continuous function of time t, has the form
where n and m are integers, with n≥1 and m≥0. The function ψ is the mother wavelet and φ is the scaling function or father wavelet. This wavelet representation of g(t) has similarities to a Fourier series representation but is more flexible, since both φ and ψ are chosen to take the value 0 outside finite intervals. For a time series measured at N equi-spaced time points, the functions φ and ψ are related by the equations
where h0, h1,…, hN are constants, referred to as filter coefficients. The original N data values are represented by a sum of a weighted combination of the father and mother wavelets together with daughter wavelets. The daughter wavelet, ψjk, is related to the mother wavelet, ψ, by a simple formula that reflects a translation and dilation of the mother, so that the daughter looks like a compressed version of its mother. The relation is
where 0≤t < 1. The coefficient simplifies subsequent analysis.
A summary of the wavelet decomposition for the case N=16 is illustrated in the table:

Each of the ψ functions is a piecewise continuous function that takes the value 0 outside its range of influence. Thus, if observation 14 takes an unusually large value then this will be reflected in an unusually large coefficient of ψ36; if observations 5 to 8 are unusually small then this will be reflected in an unusually small coefficient of ψ21; and so on.
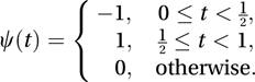
The first mother wavelet was given in the appendix of the 1909 PhD thesis by Haar. This Haar wavelet is given by
The family of wavelets that are currently most used were introduced by Daubechies in 1988. These wavelets have fractal properties. Other families of wavelets include symmlets and coiflets.