请输入您要查询的字词:

 

单词 coenzyme A
释义
coenzyme A

Chemistry
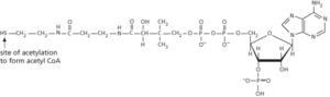
  • A complex organic compound that acts in conjunction with enzymes involved in various biochemical reactions, notably the oxidation of pyruvate via the Krebs cycle and fatty-acid oxidation and synthesis. It comprises principally the B vitamin pantothenic acid, the nucleotide adenine, and a ribose-phosphate group.


Biology
  • A complex organic compound that acts in conjunction with enzymes involved in various biochemical reactions, notably the oxidation of pyruvate via the Krebs cycle and fatty-acid oxidation and synthesis (see acetyl coenzyme a). It comprises principally the B vitamin pantothenic acid, the nucleotide adenine, and a ribose-phosphate group (see formula).

    coenzyme A

    Coenzyme A


随便看

 

科学参考收录了60776条科技类词条,基本涵盖了常见科技类参考文献及英语词汇的翻译,是科学学习和研究的有利工具。

 

Copyright © 2000-2023 Sciref.net All Rights Reserved
京ICP备2021023879号 更新时间:2025/10/16 17:33:57