请输入您要查询的字词:

 

单词 quinhydrone electrode
释义
quinhydrone electrode

Chemistry
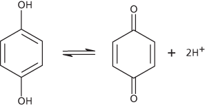
  • A half cell consisting of a platinum electrode in an equimolar solution of quinone (cyclohexadiene-1,4-dione) and hydroquinone (benzene-1,4-diol). It depends on the oxidation–reduction reaction

    C6H4(OH) 2C6H4O2+ 2H++2e.

    quinhydrone electrode

    Quinhydrone electrode


随便看

 

科学参考收录了60776条科技类词条,基本涵盖了常见科技类参考文献及英语词汇的翻译,是科学学习和研究的有利工具。

 

Copyright © 2000-2023 Sciref.net All Rights Reserved
京ICP备2021023879号 更新时间:2025/10/16 22:59:20