请输入您要查询的字词:

 

单词 negative binomial distribution
释义
negative binomial distribution

Physics
  • See Pascal’s distribution.


Mathematics
  • The generalization of the geometric distribution to the waiting time for the kth success in a sequence of independent experiments, all with the same probabilities of success. The probability mass function is given by

    Pr{X=r}=(r1k1)pk(1p)rk.

    This is because the kth success will be on the rth trial if the rth trial is a success and there are k–1 successful trials in the previous r–1 trials. See appendix 15.


Statistics
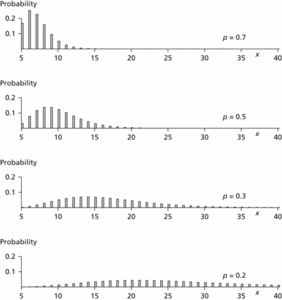
  • For trials classified as ‘success’ or ‘failure’, the distribution of X, the number of trials required in order to obtain n successes. The trials are presumed to be independent and it is assumed that each trial has the same probability of success, p (≠ 0 or 1). The probability function isnegative binomial distributionThe mean of this distribution is n/p and the variance is n(1−p)/p2.

    Special cases of the distribution were discussed by Pascal in 1679. The name ‘negative binomial’ arises because the probabilities are successive terms in the binomial expansion of (PQ)n, where P=1/p and Q=(1− p)/p. Writing Y=Xn, an equivalent form for the distribution isnegative binomial distributionThe variable X may be regarded as the sum of n independent geometric variables, each with parameter p. The case n=1 therefore corresponds to the geometric distribution.

    The arc-sinh transformation, suggested by Anscombe in 1948,negative binomial distributionresults in a random variable S having an approximate standard normal distribution.

    negative binomial distribution

    Negative binomial distribution. In each case n=5; the shape is dependent upon the value of p.


随便看

 

科学参考收录了60776条科技类词条,基本涵盖了常见科技类参考文献及英语词汇的翻译,是科学学习和研究的有利工具。

 

Copyright © 2000-2023 Sciref.net All Rights Reserved
京ICP备2021023879号 更新时间:2025/10/16 21:10:02