请输入您要查询的字词:

 

单词 chlorophyll
释义
chlorophyll

Chemistry
  • One of a number of pigments, including (chlorophyll a and chlorophyll b), that are responsible for the green colour of most plants. Chlorophyll molecules are the principal sites of light absorption in the light-dependent reactions of photosynthesis. They are magnesium-containing porphyrins, chemically related to cytochrome and haemoglobin.

    chlorophyll

    Chlorophyll


Biology
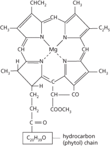
  • Any one of a class of pigments found in all photosynthetic organisms; the most important members are chlorophyll a (see formula) and chlorophyll b, which occur in all land plants and are responsible for their green colour. Chlorophyll molecules are the principal sites of light absorption in the light-dependent reactions of photosynthesis (see photosystems i and ii). They are magnesium-containing porphyrins, chemically related to cytochrome and haemoglobin. See also bacteriochlorophyll.

    chlorophyll

    Chlorophyll a


随便看

 

科学参考收录了60776条科技类词条,基本涵盖了常见科技类参考文献及英语词汇的翻译,是科学学习和研究的有利工具。

 

Copyright © 2000-2023 Sciref.net All Rights Reserved
京ICP备2021023879号 更新时间:2025/10/16 20:01:24