请输入您要查询的字词:

 

单词 emv
释义
emv

Mathematics
  • Where the payoff to the player in a game is dependent on chance outcomes, the emv is the average gain the player would achieve per game in the long run. It is calculated as the sum of: each payoff multiplied by the probability of that payoff.

    For example:

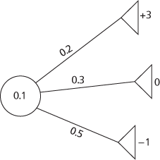
    emv

    Showing possible payoffs and chances

    The emv is 3 × 0.2+0 × 0.3+(−1) × 0.5 = 0.1 as written in the circle.


随便看

 

科学参考收录了60776条科技类词条,基本涵盖了常见科技类参考文献及英语词汇的翻译,是科学学习和研究的有利工具。

 

Copyright © 2000-2023 Sciref.net All Rights Reserved
京ICP备2021023879号 更新时间:2026/4/24 10:55:47