请输入您要查询的字词:

 

单词 position tree
释义
position tree

Computer
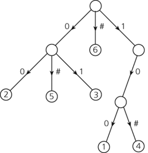
  • Let α‎ = a1a2an denote a string, or word, in the set of all Σ‎-words, Σ‎*, and let # be in the alphabet Σ‎. then the position tree T(α‎) for α‎# is a tree whose edges are labelled with elements of

    Σ{#}
    and is constructed according to the following rules:
    1. (a) T(α‎) has (n+1) leaves labelled

      1,2,,n+1
      (see diagram);

    2. (b) the sequence of labels on the edges of the path from the root to the leaf labeled i is the substring identifier for position i in α‎#.

    position tree

    Position tree. Tree for 10010 #


随便看

 

科学参考收录了60776条科技类词条,基本涵盖了常见科技类参考文献及英语词汇的翻译,是科学学习和研究的有利工具。

 

Copyright © 2000-2023 Sciref.net All Rights Reserved
京ICP备2021023879号 更新时间:2025/10/16 14:01:10