请输入您要查询的字词:

 

单词 population variance
释义
population variance

Statistics
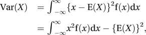
  • A measure of the variability in the values of a random variable. In context the word ‘population’ is often omitted. It is defined as the expected value of the squared difference between the random variable and its expected value:population variance

    where E(X) denotes the expected value of the random variable X. For a discrete random variable X, taking values x1, x2,…, xn, the variance of X can be calculated as follows:population variancewherepopulation varianceFor a continuous random variable X, with probability density function f, the variance of X can be calculated as follows:population variancewherepopulation varianceThe term ‘variance’ was coined by Sir Ronald Fisher in 1918. Fisher used the symbol σ2, since the variance was the square of the standard deviation that Karl Pearson had denoted by σ in 1894. See Covariance.

    See also population mean.


随便看

 

科学参考收录了60776条科技类词条,基本涵盖了常见科技类参考文献及英语词汇的翻译,是科学学习和研究的有利工具。

 

Copyright © 2000-2023 Sciref.net All Rights Reserved
京ICP备2021023879号 更新时间:2025/10/16 16:32:31