请输入您要查询的字词:

 

单词 weighted average
释义
weighted average

Statistics
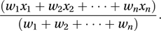
  • A weighted average is an average that can attach more importance (weight) to some observations than to others. Suppose that the importance of the observation xj is represented by the non-negative numerical coefficient wj (the weight) (j = 1, 2,…, n). The weighted average isweighted averageSee also moving average.


Geology and Earth Sciences
  • The value assessed from a number of samples, where each sample is given a different value of importance according to its reliability.


Economics
  • An average giving weights to different numbers in proportion to their importance. The weighted average of n numbers x1, x2,…, xn is found by taking the sum of the numbers times their weights w1, w2,…, wN, divided by the sum of the weights, and so

    μw=i=1nwixi/i=1nwi.

    The unweighted average has wi = 1, i = 1,…, n.


随便看

 

科学参考收录了60776条科技类词条,基本涵盖了常见科技类参考文献及英语词汇的翻译,是科学学习和研究的有利工具。

 

Copyright © 2000-2023 Sciref.net All Rights Reserved
京ICP备2021023879号 更新时间:2025/10/17 12:04:53