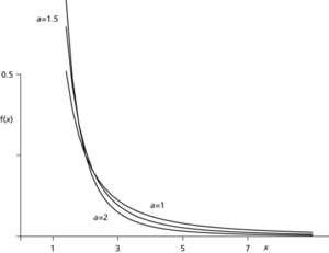
A random variable x with the simplest type of Pareto distribution has probability density function given by
where a and k are positive constants .
Pareto proposed the distribution in terms of its cumulative distribution function, {1−(k/x)a} which he believed gave a good approximation to the proportion of incomes that were less than x. According to Pareto the shape of the income distribution was the same for all countries, though the values of a and k varied from country to country. See eighty/twenty rule.